МАКРОЭКОНОМИКА · MAKROÖKONOMIK
Общеэкономическая
модель
мультипликатора
(Das gesamtwirtschaftliche Multiplikatormodell)
Вильфрид
Фурманн
Айдын
Султанов
Адрес
авторов:
Prof. Dr. Wilfried Fuhrmann
Dr. Ajdyn Sultanow
August-Bebel-Str. 89
D-14482
Tel./ Fax: (+49) - (0) 331 - 977 - 3219 / -3223
E-mail: fuhrmann@rz.uni-potsdam.de
sultan@rz.uni-potsdam.de
http://141.89.32.20/u/ls_makrooek/index.htm
©
W. Fuhrmann; ISSN 1433-920X
-1998-
I. Примечание
Рано
или поздно
каждый
студент, изучающий
экономику
(экономику
производства
или народное
хозяйство)
сталкивается
с понятием
"мультипликатор"
в
словосочетаниях
типа
"инвестиционный
мультипликатор",
"мультипликатор
государственных
расходов" и
"экспортный
мультипликатор".
В некоторых
странах это
понятие
встречается
даже в
школьных учебниках.
Мультипликатор
в качестве
экономической
категории
представлен
почти во всех
иностранных
вузовских
учебниках по
экономии. К
сожалению,
большая
часть
студентов не
уделяет
должного
внимание
этому
понятию, а в случае
"принуждённой"
конфронтации
с данным
феноменом у
многих
студентов
вырабатывается
отрицательное
отношение к
самому
предмету
макроэкономики.
При этом в
качестве
аргументов
высказываются
следующие
слова:
непонятно,
слишком абстрактно,
далёко от
реальности.
Но,
что самое
главное,
студенты в
данном случае
частично
правы.
Выведенный
с помощью
мультипликатора
общеэкономический
эффект
доходов,
являющийся
следствием
государственной
бюджетной
политики в
расходной её
части,
находит своё
полное
отражение
только в
одной
определённой,
но, к
сожалению,
редко
используемой
общеэкономической
модели.
Эта
модель
представляет
собой
комплексную
систему,
функция
которой не
ограничевается
партитивным
анализом
исключительно
рынка
товаров. С
помощью этой
модели
выводится
максимально
вообразимая
величина
мультипликатора,
но при этом
не
называются и
не раскрываются
предполагаемые
сценарии на
рынке.
Эта
(кейнсианская)
теорерическая
посылка отличается
наивысшей
степенью
агрегирования,
для
понимания
которой
требуется уже
довольно сформированное
экономическое
мышление. Исходя
из этого
соображения,
казалось бы,
введение
понятия
мультипликатора
целесообразно
перенести на
более
поздний этап
обучения.
Однако
знакомство с
вышеназванной
теоретической
посылкой
Кейнса
(представляющей
собой, как
было
отмечено
выше,
наивысшую
степень агрегирования)
целесообразно
начинать намного
раньше. Это
объясняется
тем, что
вышеупомянутый
экономический
принцип
встречается
почти во всех
экономических
моделях,
являясь тем
самым
универсальным,
и на этом
основании с
помощью
только
одного
простого
примера,
расматриваемого
имперически,
поддающийся
доступному
объяснению. Отсюда
следует, что
с категорией
мультипликатора
необходимо
знакомить
студентов уже
на начальном
этапе
обучения.
Данное
учебное
пособие
является своего
рода
введением
общеэкономической
модели
мультипликатора.
Авторы
пособия
рекомендуют
прчесть его как
минимум
дважды: в
начале и в
конце изучения
макроэкономики.
Следует
подчеркнуть,
что данное
пособие не
претендует
на роль
стандартного
вузовского
учебника в
традиционном
смысле слова
и не имеет целью
дать
многостороннее
и
исчерпывающее
объяснение
модели
мультипликатора.
Оно
представляет
собой скорее
всего схематизированный,
логически
подобранный,
скомпримированный
учебный
материал в
виде кратких
гипотез,
аргументов,
схем,
диаграмм,
формул и т.п.
Оно может
также
дополнительно
использоваться
преподавателем
в качестве
кодоскопной
плёнки на
лекциях.
Со
стороны же
учащихся
данное
учебное пособие
может быть
использовано
двояко:
Предпосылкой
для работы учащихся
с пособием
является
наличие у них
знаний об
основных
экономических
категориях
таких как,
например,
номинальные
и реальные
величины и их
отличия друг
от друга, агрегирование
в сектор
"Домашнее
хозяйство", в
"рынок
товаров" и
т.п. Однако
эти понятия
как правило
являются
предметом
рассмотрения
на первых
занятиях и
первых
страницах
соответствующих
учебников.
II. Введение
Как
известно,
отправной
точкой
экономического
мышления
является
феномен
дефицита. В
макроэкономической
науке же
главенствующей
идеей
является
феномен
кругооборота.
Макроэкономика,
давая
объяснения
таким общеэкономическим
категориям
фундаментального
характера
как
национальный
доход, потребление,
накопление
соответсвенно
сбережения,
занятость,
цены,
зарплата,
процентная
ставка и т.д.,
рассматривает
в то же время
связанные
между собой
рынки,
соответсвенно
систему
взаимосвязанных,
взаимозависимых,
или другими
словами
интердепедентных
рынков, взяв
на своё
вооружение
тем самым
метод полного
(тотального)
анализа.
Модель
всеохватывающего
характера
(тотальная
модель) должна
содержать в
себе как
минимум два
сектора: сектор
частных
потребителей
(Домашнее хозяйство,
далее -
Домхозы) и
сектор
частных предприятий
(Предприятия);
и четыре
рынка: рынок
произведённых
товаров,
рынок труда,
денежный
рынок и рынок
капитала, в
последнем случае
имеется
ввиду рынок
ценных бумаг.
В
пределах
этой
экономической
системы, отображённой
в модели,
обмен
товарами
происходит с
помощью
денег.
Такого
рода модель
представляет
собой наивысшую,
предельно
вообразимую
степень
агрегирования.
На более
низком,
приближённом
к реальным условиям,
уровне
рассматривается
"n" -
ое число
рынков
товаров, а не
один рынок товаров,
при этом
следует
иметь ввиду,
что в случае
бесконечного
увеличения
числа "n"
становится
практически невозможным
находить
правильные
решения
проблем,
прогнозировать
их развитие,
давать
однозначные
ответы и
распознавать
принципиально
важные
взаимосвязи,
взаимодействия
между
анализируемыми
объектами. Другими
словами,
можно
оказаться в
ситуации,
когда за деревьями
не видеть
больше леса,
а находясь в
лесу быть не
в состоянии
отличить,
напр., лиственное
дерево от
хвойного.
Концепирование
любой модели
требует строгого
определения
рамок и
условий
функционирования
этой модели,
а также
определённого
круга
рассматриваемых
объектов. Таким
образом,
модель и круг
предварительных
условий для
её
функционирования
формируются
и
формулируются
в
зависимости
от поставленных
целей и
вопросов к
анализу процессов
в
общеэкономической
системе.
В
соответствие
с
вышесказанным
модель
мультипликатора
имеет
следующее определение:
Модель
мультипликатора
представляет
собой
комплексную
систему как
минимум четырёх
интердепедентных
рынков -
рынка товаров,
рынка труда,
денежного
рынка, рынка
капитала, и
является
орудием
анализа
последствий
реальных
нарушений,
происходящих
на рынке
товаров.
Модель
мультипликатора
(ММП),
например, даёт
ответ на
вопрос: К
каким
последствиям
относительно
дохода,
производства,
занятости в
народном
хозяйстве
привело бы
повышение
государственного
спроса?
С
помощью
модели
мультипликатора
становится очевидным
тот факт, что
степень
изменения общеэкономических
величин во
много раз превосходит
степень
самого
внешнего
импульса
(далее -
экзогенного
импульса),
ставшего
причиной
этих
изменений.
Если,
напр.,
Государство
увеличивает
спрос на
товары, то
вследствие этого
Предприятия
увеличивают
спрос на дополнительную
рабочую силу
и производят товар
на величину
этого
государственного
спроса. Как
следствие
увеличивается
доход Домхозов,
одну часть
которого они
расходуют на
приобретение
потребительских
товаров, а
другую часть
откладывают
в качестве
сбережений. Рост
дополнительных
расходов на
потребительские
товары
вызывает
ответную
реакцию
Предприятий,
производящих
эти товары. Они
в свою
очередь
увеличивают
число рабочих
мест. Увеличение
же числа
рабочих мест
этой отрасли
промышленности
ведёт к
увеличению
дополнительных
доходов
Домхозов и
т.д. и т.п.
В
конце концов
прирост
производства
и дохода в
народном
хозяйстве во
много раз
превысил
прирост
дополнительного
спроса Государства.
Здесь
необходимо
особо
подчеркнуть
многократный
прирост
дохода по
сравнению с
приростом
дополнительного
спроса
Государства.
С
помощью
мультипликатора
можно
установить
величину,
отражающую
размах
реакции Предприятий
и Домхозов на
экзогенный
импульс.
Кроме
того, модель
мультипликатора
очерчивает круг
условий и
реакций, на
основе
которых проявляется
эффект
мультипликатора.
III. Система
и
взаимосвязь
рынков в
графическом
изображении
В
нижеследующей
графической
презентации
представлены:
1.
три сектора,
обязательных
в каждой
макроэкономической
модели
рыночного
хозяйства,
представляющих
собой
совокупность
всех предприятий
и домашних
хозяйств, а
также государство,
которое
представлено
в лице Центрального
банка и
правительства
(имеется ввиду
его госбюджетная
деятельность);
2. четыре
агрегированных
рынка;
3. связи между
рынками и
секторами,
отражающие
как
предложение,
так и спрос.
Рынок
труда
Рынок
капиталов
(Рынок
ценных бумаг)
Предприятия
Домхозы
Денежный
рынок
Центральный
банк
Правительство
Рынок
товаров
III.1. Графическая
презентация
механизма
действия
предложения
и спроса
Исходя
из
дидактических
соображений
в презентации
системы
рынка
опущены так
называемые
"общественные
товары"
(такие как,напр.,
правовая
гарантия),
налоги, пенсионное
обеспечение
и т.п., а также
внешний мир,
т.е.
рассматривается
исключительно
национальная
экономика
закрытого
типа, опущены
также
природные
ресурсы
(воздух, вода ,
качество
почвы и т.п.).
Символы
Большие
буквы
обозначают
как правило
номинальные величины,
а маленькие -
реальные.
Буквы
"A" и "N"
справа над
другими
буквами
обзначают предложение
и
соответсвенно
спрос.
Буквы
"U" и "HH"
справа под
другими
буквами
обозначают Предприятия
и
соответсвенно
Домхозы.
B число
ценных бумаг,
C ( c) номинальное
(реальное)
потребление,
G ( g) номинальный
(реальный)государственный
спрос,
i процентная
ставка,
I ( j) номинальный
(реальный)
спрос на
инвестиционные
товары,
т.е. на
основные
средства
производства,
L спрос
на деньги (со
стороны
Домхозов и
Предприятий),
M номинальная
денежная
масса,
N
занятость,
предложение
труда, спрос
на труд,
P цена
на товары,
PK цена
ценных бумаг
(по биржевому
курсу),
S ( s) номинальное
(реальное)
сбережение,
V ( v) номинальное
(реальное)
материальное
состояние,
W ( w) номинальная
(реальная)
ставка
заработной платы,
Y ( y) номинальный
(реальный)
национальный
доход
соответсвенно
агрегированный
номинальный
(реальный)
спрос на
товары или
номинальное
(реальное)
предложение
товаров
WNN WNA
Рынок
труда
W, N
Рынок
капиталов
(Рынок
ценных бумаг)
PK, B
(B PK)A (B PK ) N
V+S=
Предприятия
Домхозы
LU LHH
Денежный
рынок
i, M
M
Центральный
банк
Правительство
G
YA I C
Рынок
товаров
P,
y
имея ввиду, что YN
= C + I + G y = Y/P.
III.2. Условия
функционирования
модели
III.2.1. Общие
условия
В
модели
мультипликатора
рассматривается
исключительно
национальная
экономика
закрытого
типа (внешний
мир
опускается).
На
рынке труда
существует
определённая
заработная плата
W, на
рынке
товаров -
определённая
цена на товары
P.
Они
в пределах
модели и
рассматриваемого
пространства
времени
константны.
Временной
период
следует
понимать
чисто коцептуально
- он не имеет
ни чего
общего с обыденными
представлениями
о времени (ср.
календарный
год и т.п.).
Изменения
в пределах
системы
анализируются
компаративно
статистическим
методом, т.е.
первоначальное
равновесие
системы сопоставляется
с изменённым
равновесием, причиной
изменения
которому
послужило внешнее
(экзогенное)
воздействие
на эту
систему. В
этом случае
рссматриваются
изменения в пределах
известных
внутренних
(эндогенных)
величин.
Величины
P и W известны
всем
участникам
рынка.
III.2.2. Сектор
Предприятий (U)
а). Предложение
товаров
(планируемое
его производство)
со стороны
Предприятий
соответствует
полностью
прогнозируемому
спросу на
него:
y A = y Ne .
б). Предприятия
не ошибаются
в
прогнозировании
спроса:
y Ne = y N .
в). Спрос
Предприятий
на рабочую
силу, т.е. на труд,
зависит от
планируемого
объёма производства
товаров. В
данном
случае спрос
определяется
функцией
производства
совместно с
факторами, как
капитал (K) - напр.,
используемые
машины или
машинные часы;
и труд
соответсвенно
выполненная
работа (N). Под
производственной
функцией
может пониматься
как субституциональная
производственная
функция, так
и
лимитациональная
производственная
функция. В
первом
случае
подразумевается
постоянная
загруженность
производственных
мощностей, а
во втором
случае
наряду с
ростом производства
увеличивается
и степень загруженности
производственных
мощностей (в
данном
случае
предполагается
наличие
изначально
не
использованных
производсвенных
мощностей).
Отсюда:
y
= y(N, K)
+ +
из
чего следует,
что
NN = N(y, K) при
условии y = yA.
+
+
Величина
основного
капитала
является заданной.
г). Со
своей
стороны
Предприятия
выступают на
рынке в роли
покупателей
инвестиционных
товаров, т.е.
основных
средств
производства.
Реальный
спрос на
инвестиционные
товары j
состоит из
двух
компонентов -
j (i, ..) и ja:
-
j (i, ..) зависим
от процентной
ставки i,
- ja автономен
соответственно
задан (т.е.
детерминирован
на основе
принятых
решений по результатам
прошедшего
периода):
j = j(i , ..) + j a .
-
д). Изыскание
финансовых
средств на
затрату каждой
инвистиции,
на затрату каждой
единицы
реального
капитала
происходит
на рынке
капитала с
помощью
выпуска/продажи
акций и
займов (оба
вида
рассматриваются
в качестве
как бы
гомогенных
титулов (т.е.
ценных бумаг)
в условиях
функционирования
совершенного
рынка
капитала) при
условии, что
прибыль с
капитала
(дивиденды)
выплачивается
полностью их
вкладчикам
(т.е. Домхозам)
и одна
реальная
бона
соответствует
одной
единице
реального
капитала:
1
бона
(реальная) = 1
единице
капитала
(реального).
е). Предприятие
(U)
придерживает
деньги с целью
осуществления
возможных
трансакций
(коммерческих
операций) (LU).
III.2.3. Центральный
банк
Центральный
банк
представляет
собой независимое
денежно-финансовое
учреждение, оформленное
в качестве
самостоятельного
юридического
лица. Центральный
банк не
является
частью правительства
(напр., одним
из отделов
министерства
финансов). В
то же время
Центральный
банк не
следует путать
с частным
банком, в его
цели не
входит
долгосрочная
максимизация
доходов с капитала.
Поле
деятельности
Центрального
банка определяется
задачами,
поставленными
ему парламентом,
однако он
пользуется
при этом полной
независимостью
в своих
решениях.
Частные
банки в
модели
мультипликатора
не
рассматриваются.
В
соответствии
с этим Центральный
банк берёт на
себя роль
всего
банковского
сектора,
представляющего
собой
совокупность
всех
задействованных
на рынке
банков. Одновременно
Центральный
банк имеет в
своём
арсенале
инструменты,
с помощью
которых он в
состоянии
влиять на
деятельность
частных
банков.
Ниже
даётся
объяснение
некоторых
понятий,
непосредственно
связанных с
деятельностью
Центрального
банка.
а). Предложение
денег
Центральный
банк
регулирует
величину предложения
денег,
определяя
тем самым
объём
общеэкономической
денежной
массы М:
М = MA
Механизм
возникновения
денег:
Политика,
при которой
Центральный
банк воздействует
на денежную
массу
посредством
операций с
ценными
бумагами,
называется
"политикой
открытого
рынка".
б).
Ликвидный
эффект
Суть
ликвидного
эффекта
(подробнее об
этом позже –
авторы)
заключается
в том, что
увеличение
денежной
массы М
ведёт к
непосредственному
понижению
рыночной
процентной
ставки i. В этом
случае М и i
соотносятся
между собой
негативно.
в).
Соотношение
между
процентной
ставкой и бирживым
курсом
Между
рыночной
процентной
ставкой i и
биржевым
курсом PK
займов и
акций
действует
эффект
негативной
корреляции
(объяснение
следует
позже - авторы).
г).
Денежная
политика
Предполагается,
что политика
Центрального
банка
ограничивается
следующими
действиями:
di = 0
с
учётом того,
что i
константна
(соотв.
экзогенна).
Эти
действия
Центрального
банка
отражают
процентную
политику
Центрального
банка, суть
которой
заключается
в
стабилизации
процентной
ставки на
одном
определённом
уровне.
В
отличие от
этой
процентной
политики
Центрального
банка многие
модели
открытых
народных хозяйств
придерживаются
иной
политики -
политики
стабилизации
денежной
массы M.
Отсюда
следует
следующее
допущение:
Если
i поднимается
(опускается),
то
Центральный банк
с целью
компенсации
увеличивает
(уменьшает)
объём
денежной
массы M.
Таким
образом, если
i
константна,
то
процентные
эффекты
индуктивного
характера
исключаются.
Эти эффекты
возникают,
например, при
инвестиционной
деятельности
Предприятий
и при
откладывании
денег
Домашними
хозяйствами. Однако,
в рамках
модели эти
эффекты не
учитываются.
Следовательно,
не
происходит
изменения и биржевых
курсов,
зависящих
обычно от
изменений
процентных
ставок.
Соответсвенно
этому
допущению
действует
следующая
формула:
PK = konst.
(соотв.:
экзогенен).
III.2.4. Государственный
сектор
В
секторе
"Государство”
объеденены
все общественно-правовые,
или
публично-правовые
корпорации
одной страны,
точнее в
моделе мультипликатора
в сектор
"Государство”
агрегирован
весь спрос
государственных
организаций.
Условные
допущения
а). Государство
реализует
свой спрос на
рынке
товаров,
реальный
спрос
Государства
экзогенен:
g = G/P = exogen/экзогенен
б). Государство
не собирает
налоги. (На
основе
пропорционального
подоходного
налога можно
вывести так
называемую
теорему Haavelmo.)
в).
Финансирование
государственного
спроса G
производится
с
помощью
эмитированных
(государственных)
займов,
взятых
Государством
в кредит.
г).
Финансирование
G
посредством
эмиссии
денег
исключается.
д). Государство
не выступает
на рынке в
роли рабочей
силы. Оно не
представлено
на рынке
труда!
III.2.5.
Сектор
Домашних
хозяйств (HH)
Условные
допущения
а).
Домашние
хозяйства
предлагают
на рынке свой
труд (соответсвенно
с их стороны
имеется
спрос на рабочие
места),
величина
предложения
труда в пределах
анализируемого
периода
заранее известна,
соответсвенно
задана:
NА = konstant
(постоянно)
В
связи с
вышеописанным
упрощением
отпадает
необходимость
в объяснении
механизма
предложения
труда. Это
объяснение
даётся на
более
позднем этапе
обучения. Как
правило
механизм
предложения
труда
объясняется
заинтересованностью
Домашнего
хозяйства в
оптимизации
прибыли, при
этом
Домашнее
хозяйство
предлагает
на рынке
такое количество
труда,
которое
позволяло бы
ему извлечь
из этого
максимальную
общую выгоду.
На
основе
данного
упрощения
допускается следующее
положение -
Домашние
хозяйства сохраняют
своё
предложение
труда в неизменном
виде в
течение
актуально
анализируемого
периода.
Вследствие
вышесказанного
отпадает необходимость
в учёте
зависимости,
напр., предложения
труда от
реального
материального
состояния
Домашних
хозяйств, при
котором
действует
следующее
правило: чем
выше уровень
реального
материального
состояния,
тем ниже уровень
предложения
труда.
Однако
в модели
мультипликатора
(см. III.2.1.)
цены на
товары Р,
ставка
номинальной
заработной
платы W и тем
самым ставка
реальной
заработной
платы w = W/P
заданы
экзогенно и
соответственно
константны.
Отсюда
отпадает
надобность в
учёте
следующей
закономерности:
величина
предложения труда
зависит от
величины
ожидаемой
ставки
реальной
заработной
платы,
соответственно,
предложение
труда
находится в
позитивной
зависимости
от ожидаемой
ставки реальной
заработной
платы.
Данное
условное допущение
следует
понимать в
том смысле, что
Домашние
хозяйства
готовы
устроиться на
всякую
работу в
зависимости
от установленной
ими самими
определённой
величины ставки
зарплаты по
отношению к
существующей
ставке, не
ставя себе
целью
исчерпать весь
резерв
рабочих мест.
В
соответсвии
с этим рынок
труда в
рассматриваемой
модели
характеризуется
следующей
формулой:
NА < NN (: = N)
Предложение
труда со
стороны
Домхозов всегда
выше, чем
спрос на
рабочую силу
со стороны
Предприятий. В
стране
существует безработица.
Эта
посылка
является
отличительной
чертой так
называемой
кейнсианской
модели.
б). Номинальный
доход Y
составляют:
номинальный
трудовой
доход (зарплата)
WN и
номинальный
доход с
капитала i Vo = i PK Bo.
Отсюда
вытекает
формула
реального
дохода y (=Y/P):
y = w N + i vo = wN + i (PK/P)Bo
где:
Bo = число
ценных бумаг
во владении
Домхозов к началу
периода
(напр.,
1-го января),
i = (рыночная)
процентная
ставка
соответственно
рендита,
N = занятость
(напр.,
каличество
рабочих
часов),
PK/P = реальный
соответсвенно
относительный
курс (ценных
бумаг),
vo = реальное
материальное
состояние
Домхозов к
началу
периода,
w = реальная
(соответсвенно
относительная)
ставка
зарплаты.
Доход
с капитала -
это:
Вышеописанное
следует
оговорить
следующими
условиями:
1.
Вся
прибыль
полностью
выплачивается
акционерам.
2.
Акции и
займы
(государственные
и частные) полностью
взаимозаменяемы,
т.е. являются
субститутами.
Это
в свою
очередь
означает, что
а)
являясь
вкладами
Домхозов, они
полностью
равны по
отношению
друг к
другу;
б)
не
принимается
во внимание
разница доли риска
между
процентами,
дивидендами
и капиталом
(Государство
и
Предприятия
обладают
одинаковой
платёжеспособностью);
в)
игнорируются
мотивы,
оказывающие,
например,
влияние на
решения
Предприятий
относительно
акций (тем
самым
игнорируется
разница
между собственным
и заёмным
капиталом).
в). Домхозы
характеризуются
наличием
спроса на
потребительские
товары. Их
номинальная
сумма
потребления
равна величине
С, которая
отражает ту
денежную
сумму, которую
готовы (или
планируют)
израсходовать
Домхозы на
приобретение
потребительских
товаров. Планируемый
ими реальный
спрос на
потребительские
товары
выражается
формулой:
c = C/P.
Реальный
спрос на
потребительские
товары с
зависит от
абсолютной
величины
реального
дохода y и
величины
реального
материального
состояния vo:
с
при прочих
равных
условиях (т.е. ceteris paribus)
тем выше, чем
выше
величина
дохода,
с
при прочих
равных
условиях (т.е. ceteris paribus)
тем выше, чем
выше
величина
материального
состояния.
Отсюда
вытекает:
- реальный
спрос на
товары
с
= c (y, v0, ...),
+ +
cоответственно
- номинальный
спрос на
товары
C = P c(y,v0, ...).
+ +
Эти
формулы
отражают
Эластичность
потребительских
доходов
выражается следующей
формулой:
dc dc
dc y c dy
E(c,y) = --- --- = ---- = ----
dy c dy c
y y
Предельная
(далее
маржинальная)
готовность (или
т. н.
склонность)
потребления
показывает
величину
увеличения
потребления
Домхоза при увеличении
его дохода на
одну единицу,
причём эта
величина
больше 0 и
меньше 1:
сy = dc/dy.
Средняя
готовность
потребления
равняется
квоте,
указывающей
на ту часть
доходов, которую
в среднем
расходует
Домхоз на
приобретение
товаров:
= с/y.
Эластичность
доходов,
например, в 2,5
означает, что
повышение
дохода на 1 %
ведёт к
увеличению
потребления
на 2,5 %.
г). Домхозы
планируют
реальное
сбережение s (=S/P) c целью
повышения их
реального
материального
состояния в
объёме s = y – c.
При этом
действует
формула s = dv = v1 – vO,
указывающая
на размер
сбережения
за один период
(напр., за весь
прошедший
год) в результате
вычета с
величины
материального
состояния в
конце
периода
(напр., 31
декабря) величины
материального
состояния в
начале периода
(напр., 1 января).
Маржинальная
готовность
сбережения в
сумме с
маржинальной
готовностью
потребления
равна 1. (Внимание!
В данном
случае
налоги не
принимаются
во внимание.
В противном
случае следовало
бы учесть и
налоговую
ставку.)
Материальное
состояние
Домхозов
выражается в
виде
Особенности
Домхозов
е). Домхозы
не
подвержены
денежным
иллюзиям – иллюзий
в отношении
денег не
существует.
Это
в свою
очередь
означает:
ж). Домхозы
не в
состоянии
непосредственно
влиять на
цены на
рынке.
Для
домхозов
экзогенны и
заданы
следующие
составляющие
рынка:
W, P, PK и i
соответсвенно
w
(естественно
и VO).
IV. Общая
система
рынка в
модели
IV.1. Модель
в абсолютных
величинах
Модель
мультипликатора
составляют
уравнения,
характеризующие
каждый из
четырёх рынков
в
отдельности. Эти
уравнения
отражены в
разделах IV.1.1. - IV.1.4.
В
разделе IV.1.5.
представлена
сама модель
мультипликатора
системой уравнений
в абсолютных
величинах.
IV.1.1. Рынок
труда
(безработица)
N: = NN < NA = konstant;
NN
= N(y,K)
+
W,w konstant
K задан
NA задано
На
рынке труда
постоянный
избыток
рабочей силы.
Это значит,
что
предложение труда
всегда на
порядок выше
спроса на
рабочую силу.
Предложение
труда
является на
рынке стороной
с
ограниченными
возможностями,
т.е. так
называемой
“слабой
стороной", она
определяет
общее
количество
имеющихся на
рынке
рабочих
часов.
Это
состояние
неравновесия
(и
соответсвующая
ему величина)
не имеет
обратного
воздействия
на другие
рынки (условное
допущение).
Величина
занятости N
определяется
при заданной
величине
капитала
рекурсивно
уровнем
производства
и, соответсвенно,
уровнем
реального
дохода.
IV.1.2. Рынок
товаров (в
равновесии)

Отсюда
следует:

На
рынке
товаров
определяется
величина y,
при которой
запланированное
предлолжение
со стороны
Предприятий U соответствует
запланированному
спросу Домхозов
HH (c),
Государства (g), а
также
Предприятий (j). В
данной
констелляции
рынок
товаров находится
в равновесии.
IV.1.3. Рынок
ценных бумаг
(в
равновесии)
На
рынке ценных
бумаг
определяется
биржевой
курс PK .
Государство
и
Предприятие
в этот период
выпускают в
обращение
ценные
бумаги (дополнительно)
на величину
их
номинального
спроса на
произведённые
товары в
течение данного
периода.
Величина
(дополнительного)
предложения
равна:
PK dB = PK (B1 – B0) =
Эта
величина на
рынке ценных
бумаг соответствует
величине
спроса на
товары со
стороны
Государства
и
Предприятий:
=
P (g + j + ja).
Величина
дополнительного
предложения
соответсвует
величине
спроса на
ценные бумаги
данного
периода со
стороны
Домхозов (с целью
увеличения
материального
состояния).
Если
рынок ценных
бумаг
находится в
равновесии,
то
планируемые
сбережения
Домхозов в
данном
периоде
соответсвуют
величине спроса
на эти ценные
бумаги:
S = PK dB.
IV.1.4. Денежный
рынок (в
равновесии)
M : = MA = LU + L H H
Предложение
денег равно
спросу на
деньги (соответственно
равно спросу
на ликвидность
L) со
стороны
Домхозов и
Предприятий.
Общеэкономическому
номинальному
спросу на
деньги
(соответсвенно
реальному
спросу на
деньги l = L/P)
до сих пор не
давалось
объяснения.
Спрос
на деньги
зависит
Вышеперечисленное
отражается
следующей
формулой:
l = l (y, v0, i)
+
+ -
соответсвенно:
L = P l(y, v0, i).
+
+ -
На
денежном
рынке
определяется
процентная
ставка i, в этом
случае
Центральный
банк
оперирует денежной
массой таким
образом,
чтобы
процентная
ставка оставалась
неизменной.
Повышается
к примеру y и
при заданной P
доход Y так, что у
субъектов
экономической
деятельности
с целью
произведения
обмена товарами
повышается
спрос на
деньги (L и l растут)
(что в свою
очередь из-за
нехватки
денег на
рынке вызвал
бы рост процентной
ставки), на
что
Центральный
банк с целью
воспрепятствия
приобретает
на рынке
ценных бумаг
ценные
бумаги и
расплачивается
за них
дополнительно
выпущенными
деньгами. Вследствие
чего
увеличивается
денежная
масса, не
давая
одновременно
повыситься процентной
ставке i .
Вышесказанное
отражается
формулой:
dM = dL = P ly dy.
Домхозы
владеют
дополнительными
денежными
средствами в
рамках
одного
периода только
в том случае,
если они
хранят часть
своих
сбережений данного
периода в
виде денег,
соответсвенно
продают
часть ценных
бумаг этого
периода (ср. IV.1.3.)
Центральному
банку.
Если
эту часть
денег
обозначить
буквой ß (ß<1),
то получим
следующую
формулу:
dV = S = dL + (1- ß)
PK dB.
IV.1.5. Модель
мультипликатора
в
качестве
системы
уравнений в
абсолютных
величинах
y
(= yA) = c(y, vo, ...) + ja + j(i, ... ) + g
+
-
N
= N(y, ...)
+
M
= P l(y, ...)
PK
dB = P (g + j +ja)
IV.2. О
методике
анализа
а).
Отправной
точкой
любого
анализа
должно являться
рыночное
равновесие
(на рынке
товаров, на
денежном
рынке и на
рынке ценных
бумаг).
б).
Причиной
нарушения
равновесия
являются
внешние силы
(производится
анализ последствий
шоковых
воздейсвий
на систему,
соответсвенно
нарушений в
системе).
в).
Причиной
нарушений
является
любое
изменение
независимой переменной
– экзогенной
величины (не
ограниченной
предварительными
условиями
авторов).
Например,
dg>o или dg<o
С
помощью
модели
мультипликатора
возможно
объяснение
последствий
многих видов
шокового
воздействия
на систему. Вследствие
экзогенного
воздействия
могут быть
подвержены
изменению
следующие величины:
g, ja, co, cy, ...
Внимание!
Фактором
нарушения
системы может
стать
изменение
величины g
вследствие
политико-экономического
вмешательства.
г).
Следует учитывать
разницу
между
экспансивной
(имеется
ввиду
экспансивное
воздействие
на величину y) и
контрактивной
политикой
(напр.. фискальной
политикой) и
соответсвенно
экспансивными
и
контрактивными
нарушениями
системы.
д).
Исследуется
направление
изменения
зависимой
переменной
величины
– эндогенной
величины, под
воздействием
шока.
На
этом
основании
производится
т.н. "качественный
анализ".
Степень
изменения
вычисляется
в результате
сопоставления
показателя
определённой
величины
(напр., y) в
равновесии
после шока с
её
показателем
в равновесии
до шока.
IV.3. Модель
в
изменяющихся
величинах
(Система
дифферренциальных
уравнений)
В
этой главе
уравнения из
главы IV.1. будут
преобразованы
в тотальные
дифференциалы.
IV.3.1. Рынок
труда

Заданная
величина
основного
капитала равна
0 (dK = 0).
Изменения
занятости
вызваны
изменениями
производства
(dy) и
величиной
маржинального
трудового
показателя
(далее
коэффициента).
Маржинальный
трудовой
коэффициент
показывает
прирост
занятости,
возникающий
при
увеличении
производства
на одну
единицу. Однако
величина
коэффициента
зависит также
от
используемой
на
производстве
технологии, на
основании
чего эта
величина
носит краткосрочный
характер.
Обратной
величиной
маржинального
трудового
коэффициента
является
маржинальная
производительность
труда.
IV.3.2. Рынок
товаров
Изменения
доходов и
соответсвенно
производства
на рынке
определяются
в условиях
заданных цен.
Как
правило, в
этом случае в
поле зрения
находятся
шоковые
явления,
потрясшие
рынок.

Третье
уравнение,
сокращённое
на dy,
показывает
последствия,
например,
экзогенного
изменения
автономной
инвестиции и государственного
спроса.
Это
уравнение
создаёт ядро
модели
мультипликатора,
отталкиваясь
от которого
раскрываются
изменения
остальных
“эндогенных”
величин.
Так,
например,
изменение
потребления
отражается
следующей
формулой:
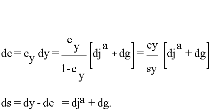
dc = d co + (cy dy)
+ y d(cy),
а
при
константном с0
и
неизменённой
маржинальной
готовности потребления:

IV.3.3. Рынок
ценных бумаг
и ссудных
капиталов
При
(возможно и
одновременно)
заданных ценах
на новопроизведённые
товары (P) и
наличии
единиц
соответствующего
капитала (PK ),
изменение
числа
эмитированных
ценных бумаг
соответсвует
масштабу
шоковым
явлениям,
например,
величине
дополнительного
спроса на
основные
средства
производства
и / или
величине
государственного
спроса.
PK dB = P dja + P dg.
IV.3.4. Денежный
рынок
Центральный
банк
занимается
регулированием
денежной
массы:
dM = dL = P ly dy.
Изменение
денежной
массы
происходит
вследствие
изменения
доходов и
зависимости доходов
от реального
спроса на
деньги. Это
изменение
показывает
на сколько
увеличивается
спрос на
деньги при
увеличении доходов
на единицу.
Величина
денежной
массы,
отражающая
зависимость
от дохода,
как и P задана.
IV.3.5. Модель
мультипликатора
в качестве
системы
уравнений в
изменяющихся
величинах
dy = cydy + dja + dg
dN = Ny dy
dM = Plydy
PK dB = P (dja + dg)
IV.4.Результат
модели
В
этом разделе
рассматриваются
нарушения
только
экзогенного
характера. Им
соответсвует
dg (>0), при
этом:
1
dy = ------------
dg.
1
- cy
Отсюда:
а).
Доходы (ср. IV.3.2.)
достигают
величины,
соответствующей
величине
многократного
увеличения dg. Это
кратное и
есть так
называемый
мультипликатор.
Мультипликатор
тем выше, чем
выше (соотв.
ниже)
маржинальная
готовность
потребления (соотв.
сбережения).
б).Сбережения
увеличиваются
наряду с
доходами на
величину dg.
Внимание!
Сбережения
не являются
предпосылкой,
или условием dg
(или dja),
дополнительное
сбережение (ds)
образуется
на основе
дополнительного
дохода и
соответствует
в условиях
нового равновесия
дополнительному
экзогенному
спросу (dg = ds).
в).
Имеющееся
количество
ценных
бумаг/облигаций
увеличивается
на число dg.
Внимание!
Условие, что PK = P,
остаётся
неизменным.
г).
Занятость
увеличивается
в
зависимости от
dy в
соответствии
с
эластичностью
доходов
занятости E(N,y)
y
dN y
E(N,y)
= Ny --- = ----- --- .
N
dy N
Эластичность
доходов
занятости
показывает
на сколько
процентов
увеличивается
занятость (dN/N)
при
увеличении
производства
соответственно
реального
дохода на 1% (dy/y = 1).
Эластичность
занятости в 0,3
означает
таким
образом, что
при увеличении
дохода на 2 %
занятость
увеличивается
на 0,6%. Данный
вывод
является
основным
положением
так
называемого
закона Окуна
(Okun`s Law).
Формула
изменения
занятости:
dN = (N/y) E(N,y) dy.
Изменение
занятости определяется
с помощью
параметров
изменения
доходов и
(краткосрочно)
заданной величины
эластичности
доходов E(N,y), а
также
среднего
коэффциента
труда (N/y).
IV.5. Динамика
модели
IV.5.1. Функционирования
модели на
примере уравнений
со стрелками
Стрелки,
встречающиеся
в формулах,
указывают на
те процессы,
которые
начинают
происходить
вследствие
экзогенного
нарушения, а
также
указывают на
те факторы,
при помощи
которых
устанавливается
новое равновесие.
Предположим,
что
маржинальная
готовность потребления
cy
равна числу 0,8 (cy = 0,8).
Отсюда:
g = yN = ( yN - yA ) > 0 ® yA = y ® Ľ
(dg = 1) (N ) ( dy = 1 )
(Государство
выпускает
дополнительные
займы
стоимостью в Pdg, на
этом
основании на
рынке ценных
бумаг появляется
избыток. Вместе
с y
поднимается L = P l (y), M
соответсвенно
растёт.)
Ľ ® c = yN = ( yN - yA ) > 0 ® yA = y ® Ľ
(cy) (dy = 1 + 0.8 )
Ľ ® c = yN = ( yN - yA ) > 0 ® yA = y ® Ľ
(dy = 1 + 0.8 + 0.64 )
.
.
Ľ ® (dy = 5).
Этот
процесс
адаптации
вследствие
повышения государственного
спроса на
одну единицу (dg = 1)
достигает
конечного
пункта в том
случае, если dy = 5, а ds = 1 и
соотв. dc = 4.
В
данном
случае при
заданных
ценах избыточный
спрос на
рынке
товаров
также как и
избыток предложения
на рынке
ценных бумаг
в результате
ответной
реакции со
стороны
Предприятий
и Домхозов
опять
равняется
нулю. Денежная
масса
увеличилась
соответсвенно
новым
условиям, т.е.
приспособилась
к ним, с тем
чтобы
воспрепятствовать
изменению процентной
ставки (di = 0).
Отсюда,
на рынке
товаров,
ценных бумаг
и денежном
рынке
устанавливается
новое равновесие.
На
рынке труда
существует
безработица. Но
она
уменьшилась
за счёт
увеличения
занятости
при
неизменённой
ставке
реальной заработной
платы.
Внимание!
1.
Реальная
ставка
заработной
платы ниже
производительности
труда. Производители
заинтересованы
в удовлетворении
дополнительного
спроса, так
как с каждой
дополнительно
произведённой
единицы
продукции, с
каждой
дополнительной
рабочей
силой
увеличивается
прибыль предприятия.
Эта прибыль
достижима
только в том
случае, если
на рынке
имеется
спрос на
товары, а уровень
безработицы
зависит от
общего спроса
на товары
соответственно
от
конъюктуры на
рынке.
2.
В
случае
соответствия
реальной
ставки заработной
платы
производительности
труда
увеличение
дополнительного
спроса со
стороны
государства
не привело бы
к
дополнительному
росту
производства
и увеличению
занятости. Это
обстоятельство
объясняется
тем, что государственный
спрос
"оттесняет"
как бы частный
спрос (crowding - out).
Ситуация
изменилась
бы в том
случае, если
в следствие dg
поднялись бы
цены, что в
свою очередь
привело бы к
уменьшению
реальной
ставки
заработной
платы (соотв.. к
уменьшению
маржинальных
издержек на
заработную
плату).
Отсюда у
производителей
появился бы
интерес к
получению
прибыли, что
опять таки
привело бы к
увеличению
производства
и дополнительному
спросу на
рабочую силу.
IV.5.2. Графическая
презентация
модели
На
45° линии
обозначены
варианты
предложения
и спроса в
условиях
равновесия.
Общеэкономическая
функция
спроса определяется
функцией
потребления,
которая в свою
очередь
представляет
сумму из
спроса на
инвестиции и
государсвенного
спроса. Исходное
равновесие
равно yo*.
.Вследствие
экзогенного
нарушения (dg)
общеэкономический
спрос сдвигается
на верх;
новое
равновесие y1*
устанавливается
вследствиe
секвентной
адаптации
точек yA и c.
yN = c + g + j
45°
c
+ g + j
c
= c0 + cyy
dg{
c0
y,yA
y0* dy y1*
V. Заключительные
замечания
V.1. Основные
характерные
черты модели
Модель
мультипликатора
представляет
собой
краткосрочную
(кейнсианскую)
модель
твердых цен:
а).
модель
твёрдых цен,
потому что
[P, W, w, i, PK] –
константны
соответственно
[dP, dW, dw, di, dPK] = 0;
б).
краткосрочная
модель,
потому что
[K, vo]
соотв.:
[dK, dvo] = 0;
в).
кейнсианская
модель,
потому что
в
модели
используется
краткосрочная
гипотеза
потребления;
подразумевается
существование
безработицы,
связанной с
наличием/отсутствием
общего
спроса на
товары;
указывает
на возможные
государственные
меры по
стабилизации
положения на
рынке в связи
с
возникновением
нарушений на
рынке
товаров.
V.2. Перспективы
В
этом разделе
указывается
на возможные
расширения
рамок
использования
модели мультипликатора
путём
введения
дополнительного
круга ситуаций
общеэкономического
значения. Следует
однако
заметить, что
в случае расширения
рамок модели
мультипликатора,
значение/величина
мультипликатора,
его эффективность
понижается.
Ниже
приводится
перечень
дополнительных
рыночных
факторов,
являющихся
причиной
изменения
ситуации на
рынке. Включение
этих
факторов в
модель
мультипликатора
важно в
смысле
исследования
общеэкономических
явлений.
Перечень
факторов и
ситуаций:
а).
Налоги и
государственный
бюджет с
наличием
валового
дохода
(дохода
брутто) и
чистого дохода
(дохода
нетто) -
отражается
переход к
закрытой
экономике с
наличием
государства.
б).
Изменяющиеся
цены, или
переменные
цены на рынке
в условиях
неравновесия
- отражается
переход к так
называемым
моделям с Flex-ценами
(гибкими
ценами).
В данном
случае при
наличии dP
возникают
эффекты цен,
влияющие
помимо прочего
на w = W / P; v = V / P,
при наличии di
возникают
процентные
эффекты,
влияющие помимо
прочего на j; s; c, а
при наличии dW и dPK
проявляются
к тому же и
дополнительные
эффекты на
рынках труда и
капитала.
в).
Дополнительное
изменение
величин и объяснение
направления
их
изменение
посредством
гипотез
прогнозирования
развития
переменных
данных, таких,
например,
как:
В данном
случае между
прочим
отражается переход
к
(микроэкономически
обоснованному)
анализу
рыночной
ситуации
посредством
теории
эффективности,
т.е. теории
затрат и
результатов.
д).
Дополнительные
механизмы адаптации:
напр.,
нарушение
равновесия
на рынке
товаров, при
котором yN минус
yA >
или < нуля,
может
вызвать
следующие
виды реакций
на рынке:
и
отсюда
появления
новых форм
рынка и организаций
рынка, таких
как
е).
Последующие
периоды – с
учётом
данного фактора
отражается
переход
к
многопериодному
анализу.
Система
не
ограничивается
величиной y*,
так как
(спрос на
рабочую силу
в данном
случае изменяется,
изменяется и
распределение
доходов, что
в свою
очередь
может
повлечь за
собой
изменение
спроса на
потребительские
товары);
кроме
того
ж).
Мотивы
действий и
решений со
стороны
политического
руководства
и
соответсвующих
учреждений и
организаций:
з).
Сектор
“внешний мир”
В этом
случае
отражается
переход к
анализу так
называемой
открытой
экономики и
соответсвенно
к
многогосударсвенной
модели. В данной
ситуации
следует
учитывать
следующие
факторы
экономики:
V.3. Экономическое
моделирование
Ни
один
экономист не
ставит себе
целью создать
модель
всеобъемлющего
и универсального
на все случаи
жизни
характера.
Нехватка
ресурсов
(таких как
время,
ограниченность
вычислительных
возможностей,
предел
аналитических
способностей,
ограниченный
круг
аллгоритмов
и т.п.) и
ориентация
на
рациональность
в действиях
вынуждает
конципировать
конструкцию
модели,
расчитанную
на решение
одной
определённой
проблемы. Рассматриваемая
же проблема
соответственно
поставленная
цель
определяет
тот объём
информации,
который
соответствовал
бы принципу
экономической
целесообразности.
Максимизация
же
информации
соответственно
объёмных
рамок модели
как правило
экономически
не
оправдывается!
В
том случае,
если решение
определённой
проблемы
происходит с
помощью
одной определённой
общеэкономической
модели, это
не значит,
что в
процессе
агрегирования
происходит
“потеря
информации”,
скорее всего
этот процесс
имеет целью
не допустить
возникновения
излишней
информации,
или т.н.
“информационного
сора”.
В
соответсвии
с этим модель
мультипликатора
служит
объяснению и
решению
определённых
общеэкономических
проблем, а
также служит
анализу
последствий
нарушения в
системе
рынка.
Механизм
действия
модели
мультипликатора
представляется
и
интепритируеся
в качестве
экономического
принципа,
основанного на
эмпирически
не
фальсифицированной
потребительской
природе
поведения
Домхозов. Этот
принцип
является
основополагающим.
Таким
образом, модель
мультипликатора
представляет
собой
комплексную
систему как
минимум
четырёх
интердепедентных
рынков и
является
орудием
анализа
последствий
реальных
нарушений,
происходящих
на рынке
товаров.